Basics of Finite Fields

In all the previous experiments, we dealt with codes over the binary alphabet. Codes can also be constructed over fields of size greater than 22. In this experiment, we shall focus on finite fields in general. Firstly, we will describe prime fields denoted by Fp\mathbb{F}_{p}, where pp is a prime number. Then we study the construction of finite fields (Fq\mathbb{F}_{q}) of size qq, which is a power of a prime (q=pmq = p^{m}, m2m \geq 2). Then we describe the element through which every element of the finite field can be generated (primitive element) and the construction of minimal polynomials of all the elements.

The theory associated with Experiment-6 is divided into four parts:

  1. Prime Fields
  2. Ring of polynomials and Extended Euclidean algorithm
  3. Construction of finite fields of prime power
  4. Structural Properties of Finite Fields
    • Vector space structure of finite fields
    • Multiplicative structure of finite fields
    • Minimal Polynomials

1. Prime Fields

Consider a set Fp={0,1,,p1}\mathbb{F}_p = \{0, 1, \ldots, p-1 \}, where pp is prime. The addition and multiplication operations for any a,bFpa, b \in \mathbb{F}_p are defined as a+pb=a+bmodpa +_p b = a+b \mod p and a.pb=a.bmodpa ._p b = a.b \mod p. For simplicity of notation, we will use ++ instead of +p+_p and .. instead of .p._p subsequently in the theory.

We would like to argue that (Fp,+,.)(\mathbb{F}_p, +, .) is a field. In Experiment-1, field definition is given. It is easy to verify the following field properties of (Fp,+,.)(\mathbb{F}_p, +, .):

  • Closure under addition, multiplication
  • Commutativity under addition, multiplication
  • Distributivity with respect to addition and multiplication
  • Additive identity is 00 and multiplicative identity is 11
  • Additive inverse of aa is pap-a

The only property which requires to be verified carefully is the existence of multiplicative inverse for every non-zero element in the field. In order to prove that, we need to invoke the fact that pp is prime. We also use the well-known relation of the greatest common divisor (gcdgcd), i.e., for integers aa and bb there are two integers xx and yy such that

ax+py=1 ax + py = 1

Consider a1Fpa \neq 1 \in \mathbb{F}_p. aa is co-prime with pp as pp is a prime number. Hence, gcd(a,p)=1gcd(a,p)=1. Thus, there are two integers x,yx,y such that ax+py=1ax + py = 1. Doing modp\mod p operation on the above relation, we have that a(xmodp)=1modpa \cdot (x \mod p) = 1 \mod p. Thus, xmodpx \mod p is the required multiplicative inverse of aa in the field Fp\mathbb{F}_p.

Consider the case of p=7p=7. The addition and multiplication tables for F7\mathbb{F}_7 are given below. For example, (4+5)mod7=2(4+5) \mod 7 = 2 and (45)mod7=6(4 \cdot 5) \mod 7 = 6. In this field, the additive inverse of an element aa is 7a7-a. For example, additive inverse of 55 is 75=27-5=2. The multiplicative identity is 11 in F7\mathbb{F}_{7}, so the multiplicative inverse of an element aa is bb if and only if ab=1a \cdot b = 1. For example, the multiplicative inverse of 55 is 33 (check from Table 2). Students are suggested to find the multiplicative inverses of all the elements from Table 2 and additive inverses of all the elements from Table 1.

Table 1: Addition table for F7\mathbb{F}_7
Addition table for F7

Table 2: Multiplication table for F7\mathbb{F}_7
Multiplication table for F7


2. Ring of Polynomials and Extended Euclidean Division Algorithm

In Experiment-1, we have defined the field {F,+,}\{\mathbb{F}, +, \cdot\}. Students are suggested to recall the axioms that satisfy with two binary operations called addition (+)(+) and multiplication ()(\cdot) (see Section 1 in the current experiment). Let RR be a set of elements, known as a ring, which satisfies all the field axioms but does not necessarily require the presence of multiplicative inverses and doesn't require satisfying the commutative property with respect to multiplication. It is denoted by {R,+,}\{R, +, \cdot\}. Consider the set of all polynomials with coefficients from Fp\mathbb{F}_p, denoted by Fp[x]\mathbb{F}_p[x] where xx is indeterminate. It is easy to verify that (Fp[x],+,.)(\mathbb{F}_p[x],+,.) is a ring of polynomials. Addition and multiplication are defined as ordinary addition and multiplication, with the difference being the coefficient operations are carried out modp\mod p.

For example, consider the ring of polynomials F7[x]\mathbb{F}_7[x]. Let a(x)=1+3x+4x2+x3+6x5a(x) = 1 + 3x + 4x^2 + x^3 + 6x^5 and b(x)=2+5x2+5x5+x6b(x) = 2 + 5x^2 + 5x^5 + x^6, then we have that

a(x)+b(x)=3+3x+2x2+x3+4x5+x6 a(x) + b(x) = 3 + 3x + 2 x^2 + x^3 + 4x^5 + x^6

We also can compute the product of a(x)a(x) and b(x)b(x) as follows:

a(x)b(x)=(1+3x+4x2+x3+6x5)(2+5x2+5x5+x6) a(x) b(x) = (1 + 3x + 4x^2 + x^3 + 6x^5) (2 + 5x^2 + 5x^5 + x^6)

=2+6x+6x2+3x3+6x4+x5+2x6+4x7+2x8+x9+2x10+6x11 = 2 + 6x + 6x^2 + 3x^3 + 6x^4 + x^5 + 2x^6 + 4x^7 + 2x^8 + x^9 + 2x^{10} + 6x^{11}

Let a(x)=4x4+3x2+2x+1a(x) = 4x^4 + 3x^2 + 2x + 1 and b(x)=3x2+2x+1b(x) = 3x^2 + 2x + 1 are the two polynomials in F7[x]\mathbb{F}_{7}[x]. The division of a(x)a(x) by b(x)b(x) is computed as follows:

Division of polynomials in F7[x]

Division algorithm for polynomials states that there is a unique representation for a(x)a(x) and b(x)b(x) in F[x]\mathbb{F}[x] (F\mathbb{F} is a field), a(x)=q(x)b(x)+r(x)a(x) = q(x) b(x) + r(x), where the degree of r(x)r(x) is less than the degree of b(x)b(x). Throughout the experiment, we denote the degree of any polynomial, say f(x)f(x) by deg(f(x))deg(f(x)). Sometimes it is convenient to express the remainder polynomial in terms of the modulo operation, as we do for integers, i.e., r(x)=a(x)modb(x)r(x) = a(x) \mod b(x). Using the division algorithm repetitively, the gcdgcd of two polynomials is determined, which is discussed below.

Euclidean Algorithm: To compute the gcd(f(x),g(x))gcd(f(x), g(x)), the division algorithm is used repetitively. Repeated application of the division algorithm, we obtain a series of equations:

f(x)=q1(x)g(x)+r1(x)g(x)=q2(x)r1(x)+r2(x)r1(x)=q3(x)r2(x)+r3(x)rj2(x)=qj(x)rj1(x)+rj(x)rj1(x)=qj+1(x)rj(x) f(x) = q_{1}(x) g(x) + r_{1}(x) \\ g(x) = q_{2}(x) r_{1}(x) + r_{2}(x) \\ r_{1}(x) = q_{3}(x) r_{2}(x) + r_{3}(x) \\ \vdots \\ r_{j-2}(x) = q_{j}(x) r_{j-1}(x) + r_{j}(x) \\ r_{j-1}(x) = q_{j+1}(x) r_{j}(x)

Then gcd(f(x),g(x))=rj(x)gcd(f(x), g(x)) = r_{j}(x), the last nonzero remainder of the division process. Let's understand the procedure to find the gcdgcd of two polynomials with the following example.

Example 1:
Consider the polynomials f(x)=x6+x5+x4+x3+x2+1f(x) = x^6 + x^5 + x^4 + x^3 + x^2 + 1 and g(x)=x4+x3+x+1g(x) = x^4 + x^3 + x + 1 from F2[x]\mathbb{F}_{2}[x]. Remember that all the operations are performed modulo 2. We will apply the Euclidean algorithm to find the gcd(f(x),g(x))gcd(f(x),g(x)).

Division of polynomials in F2[x]

Therefore by applying the division algorithm for the polynomials f(x)f(x) and g(x)g(x) we get

f(x)=(x2+1)g(x)+(x3+x) f(x) = (x^2+1) g(x) + (x^3+x)

Here, quotient q1(x)=(x2+1)q_{1}(x) = (x^2+1) and the remainder r1(x)=x3+xr_{1}(x) = x^3+x.

Step 2:
Next, we apply division algorithm for the polynomials g(x)=x4+x3+x+1g(x) = x^4 + x^3 + x + 1 and r1(x)=x3+xr_{1}(x) = x^3+x we get

g(x)=(x+1)r1(x)+(x2+1) g(x) = (x+1) r_{1}(x) + (x^2+1)

Here, quotient q2(x)=(x+1)q_{2}(x) = (x+1) and the remainder r2(x)=x2+1r_{2}(x) = x^2+1.

Step 3:
Next, we apply division algorithm for the polynomials r1(x)=x3+xr_{1}(x) = x^3+x and r2(x)=x2+1r_{2}(x) = x^2+1 we get

r1(x)=(x)r2(x) r_{1}(x) = (x) r_{2}(x)

Since the remainder r3(x)=0r_{3}(x)=0, the Euclidean algorithm terminates here, and the last non-zero remainder is r2(x)=(x2+1)r_{2}(x) = (x^2+1). Therefore gcd(f(x),g(x))=(x2+1)gcd(f(x),g(x)) = (x^2+1).

The relation of the greatest common divisor of two polynomials is analogous to integers. For any two polynomials f(x)f(x) and g(x)g(x), there exists polynomials s(x)s(x) and t(x)t(x) such that

gcd(f(x),g(x))=s(x)f(x)+t(x)g(x) gcd(f(x),g(x)) = s(x) f(x) + t(x) g(x)

In further discussion, we always consider f(x)f(x) is the dividend and g(x)g(x) is the divisor. The relation above is used to find the construction of finite fields of prime power (also called Galois fields) and is described in Section 3. The well-known extended Euclidean Algorithm for polynomials for finding s(x)s(x) and t(x)t(x) is given below. In this algorithm, the remainder ri(x)r_{i}(x) and the quotient qi(x)q_{i}(x) determined at the iith step of the Euclidean algorithm are used.

Extended Euclidean Division Algorithm:
The polynomials s(x)s(x) and t(x)t(x) are computed by finding intermediate polynomials si(x)s_{i}(x) and ti(x)t_{i}(x) satisfying

ri(x)=si(x)f(x)+ti(x)g(x) r_{i}(x) = s_i(x) f(x) + t_i(x) g(x)

at every step of the algorithm. The quotient qi(x)q_{i}(x) obtained at the iith step of the Euclidean algorithm is used to update si(x)s_{i}(x) and ti(x)t_{i}(x):

si(x)=si2(x)qi(x)si1(x) s_{i}(x) = s_{i-2}(x) - q_{i}(x) s_{i-1}(x)

ti(x)=ti2(x)qi(x)ti1(x) t_{i}(x) = t_{i-2}(x) - q_{i}(x) t_{i-1}(x)

for i=1,2,i = 1,2, \ldots (until termination), with

s1(x)=1,s0(x)=0t1(x)=0,t0(x)=1 s_{-1}(x) = 1, \quad s_{0}(x) = 0 \\ t_{-1}(x) = 0, \quad t_{0}(x) = 1

We have seen that the last non-zero remainder rjr_{j} obtained in the Euclidean algorithm is the gcd(f(x),g(x))gcd(f(x),g(x)). So, the extended Euclidean algorithm terminates when the last non-zero remainder is expressed as above. The corresponding sj(x)s_{j}(x) and tj(x)t_{j}(x) resulted as s(x)s(x) and t(x)t(x) of the gcd(f(x),g(x))gcd(f(x),g(x)). In the following example, we determine the polynomials s(x)s(x) and t(x)t(x) for Example 1.

Example 2:
Consider Example 1. We have obtained gcd(f(x),g(x))=x2+1gcd(f(x), g(x)) = x^2+1. A series of equations obtained in the Euclidean algorithm are used sequentially to determine the s(x)s(x) and t(x)t(x). We start with the initial values given above, and tabulated in Table 4.

Table 3: Initial values for Extended Euclidean Algorithm
Initial values for Extended Euclidean Algorithm

We will apply the extended Euclidean algorithm step by step till we get the remainder zero.

Step 1:
At this step we determine s1(x)s_{1}(x) and t1(x)t_{1}(x). For this, we need the quotient q1(x)=(x2+1)q_{1}(x) = (x^{2}+1) obtained at the first step of the Euclidean algorithm, and the initial values from the above table. From the update equations:

s1(x)=s1(x)q1(x)s0(x)=1(x2+1)0=1 s_{1}(x) = s_{-1}(x) - q_{1}(x) s_{0}(x) = 1 - (x^{2}+1) \cdot 0 = 1

t1(x)=t1(x)q1(x)t0(x)=0(x2+1)1=x2+1 t_{1}(x) = t_{-1}(x) - q_{1}(x) t_{0}(x) = 0 - (x^{2}+1) \cdot 1 = x^{2}+1

At the first step of the Euclidean algorithm, the remainder is r1(x)=x3+xr_{1}(x) = x^3+x. Students are suggested to verify that r1(x)=s1(x)f(x)+t1(x)g(x)r_{1}(x) = s_{1}(x) f(x) + t_{1}(x) g(x). Table 5 shows all the values that have been obtained till now.

Table 4: Values after Step 1 of Extended Euclidean Algorithm
Values after Step 1 of Extended Euclidean Algorithm

Step 2:
As done in Step 1, at this step we determine s2(x)s_{2}(x) and t2(x)t_{2}(x). For this we need the values obtained in Table 5 and the quotient q2(x)=(x+1)q_{2}(x) = (x+1) obtained in step 2 of the Euclidean algorithm. From the update equations:

s2(x)=s0(x)q2(x)s1(x)=0(x+1)1=x+1 s_{2}(x) = s_{0}(x) - q_{2}(x) s_{1}(x) = 0 - (x+1) \cdot 1 = x+1

t2(x)=t0(x)q2(x)t1(x)=1(x+1)(x2+1)=x3+x2+x t_{2}(x) = t_{0}(x) - q_{2}(x) t_{1}(x) = 1 - (x+1)(x^{2}+1) = x^{3}+x^{2}+x

At this step, the remainder is r2(x)=x2+1r_{2}(x) = x^2+1. Table 6 shows all the values obtained till now. Students are encouraged to confirm that r2(x)=s2(x)f(x)+t2(x)g(x)r_{2}(x) = s_{2}(x) f(x) + t_{2}(x) g(x).

Table 5: Values after Step 2 of Extended Euclidean Algorithm
Values after Step 2 of Extended Euclidean Algorithm

Note that the Euclidean algorithm for this example terminates here, since r3(x)=0r_{3}(x) = 0, and the gcd(f(x),g(x))=r2(x)=(x2+1)gcd(f(x),g(x))= r_{2}(x) = (x^2+1). Therefore the extended Euclidean algorithm also terminates here, and r2(x)=s2(x)f(x)+t2(x)g(x)r_{2}(x) = s_{2}(x) f(x) + t_{2}(x) g(x). That is,

gcd(f(x),g(x))=r2(x)=(x2+1)=(x+1)f(x)+(x3+x2+x)g(x) gcd(f(x),g(x)) = r_{2}(x) = (x^2+1) = (x+1) f(x) + (x^3+x^2+x) g(x)

Hence for this example the polynomials s(x)=(x+1)s(x) = (x+1) and t(x)=(x3+x2+x)t(x) = (x^3+x^2+x). From the previous step we know the remainder r3(x)=0r_{3}(x)=0 and the quotient q3=xq_{3} = x. Hence with all these values we obtain the final table of the algorithm (Table 7):

Table 6: Final values of Extended Euclidean Algorithm
Final values of Extended Euclidean Algorithm


3. Construction of Finite Fields

In this section, we provide fundamental definitions necessary for building finite fields. These definitions are essential for the construction process.

Monic Polynomial:
Consider a polynomial f(x)f(x) of degree dd, given by f(x)=i=0dfixif(x) = \sum_{i=0}^d f_i x^i. f(x)f(x) is said to be monic if fd=1f_d=1.

Irreducible Polynomial:
A monic polynomial f(x)f(x) over Fp\mathbb{F}_p of degree dd is said to be irreducible if it cannot be factored into the form:

f(x)=g(x)h(x) f(x) = g(x) h(x)

where 0<deg(g(x)),deg(h(x))<deg(f(x))=d0 < \text{deg}(g(x)), \text{deg}(h(x)) < \text{deg}(f(x)) = d.

Consider a binary field with p=2p=2 and F2={0,1}\mathbb{F}_2 = \{0,1\}. The list of all irreducible polynomials over F2\mathbb{F}_2 up to degree 4 are given in the table below:

Table 7: Irreducible polynomials over F2\mathbb{F}_2 up to degree 4
Irreducible polynomials over F2

It can be shown that for every prime pp, and every integer m1m \geq 1, irreducible polynomials of degree mm exist. Consider the set Fp[x]/f(x)\mathbb{F}_p[x]/f(x), where f(x)f(x) is irreducible of degree m2m \geq 2. Fp[x]/f(x)\mathbb{F}_p[x]/f(x) is the collection of equivalence classes. Where we define

a1(x)a2(x) if and only if f(x) divides (a1(x)a2(x)) a_1(x) \sim a_2(x) \text{ if and only if } f(x) \text{ divides } (a_1(x) - a_2(x))

which means (a1(x)a2(x))(a_1(x) - a_2(x)) is a multiple of f(x)f(x). Each equivalence class represents an element in the finite field. These equivalence classes can be denoted as [a(x)][a(x)], where a(x)a(x) is a representative polynomial within that class. This class includes all the polynomials whose division by f(x)f(x) gives the remainder a(x)a(x). For simplicity of notation, the element [a(x)][a(x)] is represented as a(x)a(x). From this, we can see that the field Fp[x]/f(x)\mathbb{F}_p[x]/f(x) is the collection of all the polynomials of degrees less than or equal to m1m-1. It is easy to verify the field properties (see Section 1) of Fp[x]/f(x)\mathbb{F}_p[x]/f(x). Students are encouraged to verify all the field properties carefully. The critical thing to verify is that every nonzero element in the field has another element with which you can multiply it to get 1 (the multiplicative inverse) which is discussed below.

Consider any non-zero element a(x)a(x) from the field Fp[x]/f(x)\mathbb{F}_p[x]/f(x). Since f(x)f(x) is the irreducible polynomial of degree mm, the gcd(f(x),a(x))=1gcd(f(x),a(x)) = 1. From the previous section, there are two polynomials s(x)s(x) and t(x)t(x) such that s(x)f(x)+t(x)a(x)=1s(x)f(x)+t(x)a(x) = 1. By performing a modulo operation with the irreducible polynomial f(x)f(x), we get (t(x)modf(x))a(x)=1(t(x) \mod f(x))a(x) = 1. Thus (t(x)modf(x))(t(x) \mod f(x)) is the multiplicative inverse of a(x)a(x) in the field Fp[x]/f(x)\mathbb{F}_p[x]/f(x).

For example, consider irreducible polynomial f(x)=x2+x+1f(x) = x^2+x+1 over F2[x]\mathbb{F}_{2}[x]. Then F22=F2[x]/(x2+x+1)={[0],[1],[x],[x+1]}{0,1,x,x+1}\mathbb{F}_{2^2} = \mathbb{F}_2[x]/(x^2+x+1) = \{ [0], [1], [x], [x+1] \} \triangleq \{ 0, 1, x, x+1 \}. In this, each element is an equivalence class. Consider an element [x][x] from F22\mathbb{F}_{2^2}, this class includes all polynomials over F2[x]\mathbb{F}_2[x] which gives the remainder xx with modulo (x2+x+1)(x^2+x+1). In this field, the multiplicative inverse of xx is x+1x+1, since (x)(x+1)=x2+x=1(x) \cdot (x+1) = x^2+x = 1.


4. Structural Properties of Finite Fields

4.1 Vector Space Structure of a Finite Field

Consider a finite field Fq\mathbb{F}_q with qq elements. The characteristic pp of Fq\mathbb{F}_q is the smallest integer pp such that 1+1++1p times=0\underbrace{1 + 1 + \ldots + 1}_{p \text{ times}} = 0 in Fq\mathbb{F}_q. Hence, Fq\mathbb{F}_q contains the set {0,1,,p1}\{0,1,\ldots, p-1\}.

The arithmetic used to operate on these elements is modp\mod p arithmetic since p0p \equiv 0 in Fq\mathbb{F}_q. It can be shown that the characteristic pp is a prime. Hence, Fq\mathbb{F}_q contains a copy of Fp\mathbb{F}_p. It can be shown that if E\mathbb{E} and F\mathbb{F} are fields and EF\mathbb{E} \supseteq \mathbb{F}, then E\mathbb{E} is a vector space over F\mathbb{F}. It follows that Fq\mathbb{F}_q is a vector space over Fp\mathbb{F}_p. Let mm be the dimension of this vector space over Fp\mathbb{F}_p. Then, we have

Fq={i=1maiγiaiFp} \mathbb{F}_q = \left\{ \sum_{i=1}^m a_i \underline{\gamma}_i \mid a_i \in \mathbb{F}_p \right\}

where {γ1,,γm}\{ \underline{\gamma}_1, \ldots, \underline{\gamma}_m \} is a basis of Fq\mathbb{F}_q over Fp\mathbb{F}_p. It follows that Fq\mathbb{F}_q is of size pmp^m. Thus, every finite field Fq\mathbb{F}_q has size qq of the form q=pmq = p^m, pp prime, m1m \geq 1 (moreover pp is the characteristic of Fq\mathbb{F}_q).

For example, consider F24=F2[x]/(x4+x+1)\mathbb{F}_{2^4} = \mathbb{F}_2[x]/(x^4+x+1). The basis of F24\mathbb{F}_{2^4} over F2\mathbb{F}_{2} is S={(1000),(0100),(0010),(0001)}S = \{(1\,0\,0\,0), (0\,1\,0\,0), (0\,0\,1\,0), (0\,0\,0\,1)\} and F24\mathbb{F}_{2^4} is the vector space spanned by the set SS over F2\mathbb{F}_{2} which has size 242^4.

4.2 Multiplicative Structure of a Finite Field

We denote Fq=Fq{0}\mathbb{F}_q^* = \mathbb{F}_q \setminus \{0\}. The multiplicative order of βFq\beta \in \mathbb{F}_q^* is the smallest exponent ee such that βe=1\beta^e = 1. Every finite field Fq\mathbb{F}_q contains an element α\alpha of order q1q-1. In terms of α\alpha, Fq\mathbb{F}_q has the representation

Fq={0}{αi0iq2} \mathbb{F}_q = \{0\} \cup \{ \alpha^i \mid 0 \leq i \leq q-2 \}

An element αFq\alpha \in \mathbb{F}_q^* of order q1q-1 is called a primitive element of Fq\mathbb{F}_q. Multiplicative inverse of any αj\alpha^{j} (1jq11 \leq j \leq q-1) is αq1j\alpha^{q-1-j}, since (αj)(αq1j)=αq1=1(\alpha^{j}) \cdot (\alpha^{q-1-j}) = \alpha^{q-1} = 1.

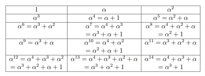
For example, consider F24=F2[x]/(x4+x+1)\mathbb{F}_{2^4} = \mathbb{F}_2[x]/(x^4+x+1). Note that x4+x+1x^4+x+1 is irreducible over F2\mathbb{F}_2. Denote α=[x]\alpha = [x], the equivalence class of [x][x] in F2[x]/(x4+x+1)\mathbb{F}_2[x]/(x^4+x+1). Alternately, we may regard α\alpha as the imaginary element satisfying α4+α+1=0\alpha^4+\alpha+1=0. Now, we will show that we can express all the non-zero elements of F2[x]/(x4+x+1)\mathbb{F}_2[x]/(x^4+x+1) as powers of α\alpha (see Table 9). In Table 9, we get an element by multiplying the previous element by α\alpha and then applying the condition α4+α+1=0\alpha^4+\alpha+1 = 0. We also use the condition every element is its own additive inverse. This is because the characteristic of the field is 22. For example, let's calculate the polynomial representation of α8\alpha^8,

α8=α7α=(α3+α+1)α=α4+α2+α=(α+1)+α2+α=α2+1 \alpha^8 = \alpha^7 \cdot \alpha = (\alpha^3+\alpha+1) \cdot \alpha = \alpha^4+\alpha^2+\alpha \\ = (\alpha+1)+\alpha^2+\alpha = \alpha^2+1

In this field, the multiplicative inverse of any αj\alpha^{j} (1j151 \leq j \leq 15) is α15j\alpha^{15-j}, since (αj)(α15j)=α15=1(\alpha^{j}) \cdot (\alpha^{15-j}) = \alpha^{15} = 1. For example, multiplicative inverse of α3\alpha^3 is α12\alpha^{12}.

Table 8: Powers of α\alpha in F24\mathbb{F}_{2^4}
Powers of alpha in F2^4

As a part of the study of finite fields, we will discuss the construction of minimal polynomials, which are useful in constructing codes that we will discuss in Experiment 9.

4.3 Minimal Polynomials

The minimal polynomial mβ(x)m_{\beta}(x) of βFq\beta \in \mathbb{F}_q^* is the smallest degree monic polynomial in Fp[x]\mathbb{F}_p[x] of which β\beta is a zero. Some properties of the minimal polynomial (without proofs) are given below:

  • mβ(x)m_{\beta}(x) is an irreducible polynomial.
  • If f(β)=0f(\beta) = 0, then mβ(x)f(x)m_{\beta}(x) \mid f(x), i.e., if β\beta is a root of f(x)f(x), then mβ(x)m_{\beta}(x) divides f(x)f(x).
  • Applying the above fact, we have that mβ(x)(xqx)m_{\beta}(x) \mid (x^q - x). This is because all the elements of field Fq\mathbb{F}_q satisfy the equation xq=xx^q = x.
  • For a non-zero element β\beta, all the distinct elements of {βp,βp2,,βpm}\{\beta^p, \beta^{p^2}, \ldots, \beta^{p^{m}}\}, where pp is the characteristic of Fq\mathbb{F}_q, are all termed as conjugates of the element β\beta. Let CβC_{\beta} denote the set of all conjugates of the element β\beta including β\beta itself.
  • mβ(x)=γCβ(xγ)m_{\beta}(x) = \prod_{\gamma \in C_{\beta}} (x-\gamma). In particular, an element and all its conjugates have the same minimal polynomial.

Example 3:
Consider the Galois field F24\mathbb{F}_{2^{4}} such that 1+α+α4=01+\alpha+\alpha^{4} = 0 (see Table 9). Suppose we want to determine the minimal polynomial ϕ(X)\phi(X) of β=α7\beta = \alpha^{7} in F24\mathbb{F}_{2^{4}}. Recall that conjugates of β\beta are the distinct elements βp,βp2,,βpm\beta^p, \beta^{p^2}, \ldots, \beta^{p^{m}}, where pp is the characteristic of Fpm\mathbb{F}_{p^{m}} (here p=2p=2). So the conjugates of the element β=α7\beta=\alpha^{7} are α14,α13,α11\alpha^{14}, \alpha^{13}, \alpha^{11} and α7\alpha^{7}. Hence, the minimal polynomial of β=α7\beta = \alpha^{7} is

ϕ(X)=(X+α7)(X+α11)(X+α13)(X+α14)=[X2+(α7+α11)X+α18][X2+(α13+α14)X+α27]=(X2+α8X+α3)(X2+α2X+α12)=X4+(α2+α8)X3+(α12+α10+α3)X2+(α5+α5)X+α15=X4+X3+1 \begin{align*} \phi(X) & = (X+\alpha^{7}) (X+\alpha^{11}) (X+\alpha^{13}) (X+\alpha^{14}) \\ & = [X^{2}+(\alpha^{7}+\alpha^{11})X+\alpha^{18}] [X^{2}+(\alpha^{13}+\alpha^{14})X+\alpha^{27}] \\ & = (X^{2}+\alpha^{8}X+\alpha^{3}) (X^{2}+\alpha^{2} X+\alpha^{12}) \\ & = X^{4} + (\alpha^{2} + \alpha^{8}) X^{3} + (\alpha^{12}+\alpha^{10}+\alpha^{3}) X^{2} + (\alpha^{5} + \alpha^{5}) X + \alpha^{15} \\ & = X^{4} + X^{3} +1 \end{align*}